
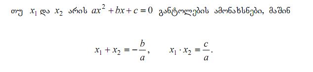
ვიეტას თეორემა
შენიშვნა: მათემატიკური ცნებები ძირითადად წარმოდგენილია ეროვნული მისაღები გამოცდებისთვის განკუთვნილი სახელმძღვანელოდან - ავტორები: ს.თოფურია, ვ.ხოჭოლავა, ნ.მაჭარაშვილი, გ. აბესაძე, ზ. მეტრეველი.
განმარტება: პროფესორ ს. თოფურიას რედაქციით მეხუთე გადამუშავებული გამოცემა.
ტესტები მათემატიკაში
შემაჯამებელი სულ: 74
შემაჯ. - ამოცანა: 1682
გამოცდა - CAT: 1
CAT - ამოცანა: 186
ოფისი - WINDOWS: 1
WINDOWS - ამოცანა: 25
საჭირო ინფორმაცია
შესრულებულია სულ: 5764
მათ. ცნებები სულ: 87
პოსტი - გაკვეთილი: 332
მომხმარებელი: 149
საიტზე იმყოფება: 12
