ხშირად საჭიროა სასრული სიმრავლის ელემენტებისგან სხვადასხვა კომბინაციის შედგენა და რაიმე წესით შედგენილი ყველა შესაძლო კომბინაციის რაოდენობის გამოანგარიშება. ასეთ ამოცანებს კომბინატორულს უწოდებენ, ხოლო მათემატიკის ნაწილს, რომელიც დასახელებული ამოცანების ამოხსნას შეისწავლის - კომბინატორიკა.
გადანაცვლება არის 1, 2, 3, ..., n ნატურალური რიცხვების დალაგება რიცხვების გამეორების გარეშე. გადანაცვლებადობათა რაოდენობა გამოითვლება ფორმულით:
Pn = n!
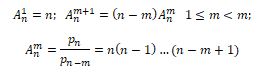
n - ელემენტიანი სირავლის ელემენტებისგან შედგენილ ყოველ m ელემენტიან დალაგებულ ქვესიმრავლეს ეწოდება წყობა - ელემენტისა m - ელემენტად. წყობათა რაოდენობა გამოითვლება ფორმულით:

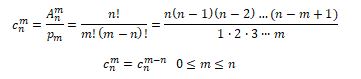
n - ელემენტიანი სირავლის ელემენტებისგან შედგენილ ყოველ m ელემენტიან ქვესიმრავლეს ეწოდება ჯუფდება - ელემენტისა m - ელემენტად. ჯუფდებათა რაოდენობა გამოითვლება ფორმულით:



ნიუტონის ბინომიალური ფორმულა

შენიშვნა: მათემატიკური ცნებები ძირითადად წარმოდგენილია ეროვნული მისაღები გამოცდებისთვის განკუთვნილი სახელმძღვანელოდან - ავტორები: ს.თოფურია, ვ.ხოჭოლავა, ნ.მაჭარაშვილი, გ. აბესაძე, ზ. მეტრეველი.
განმარტება: პროფესორ ს. თოფურიას რედაქციით მეხუთე გადამუშავებული გამოცემა.
ტესტები მათემატიკაში
შემაჯამებელი სულ: 74
შემაჯ. - ამოცანა: 1682
გამოცდა - CAT: 1
CAT - ამოცანა: 186
ოფისი - WINDOWS: 1
WINDOWS - ამოცანა: 25
საჭირო ინფორმაცია
შესრულებულია სულ: 5764
მათ. ცნებები სულ: 87
პოსტი - გაკვეთილი: 332
მომხმარებელი: 149
საიტზე იმყოფება: 21
